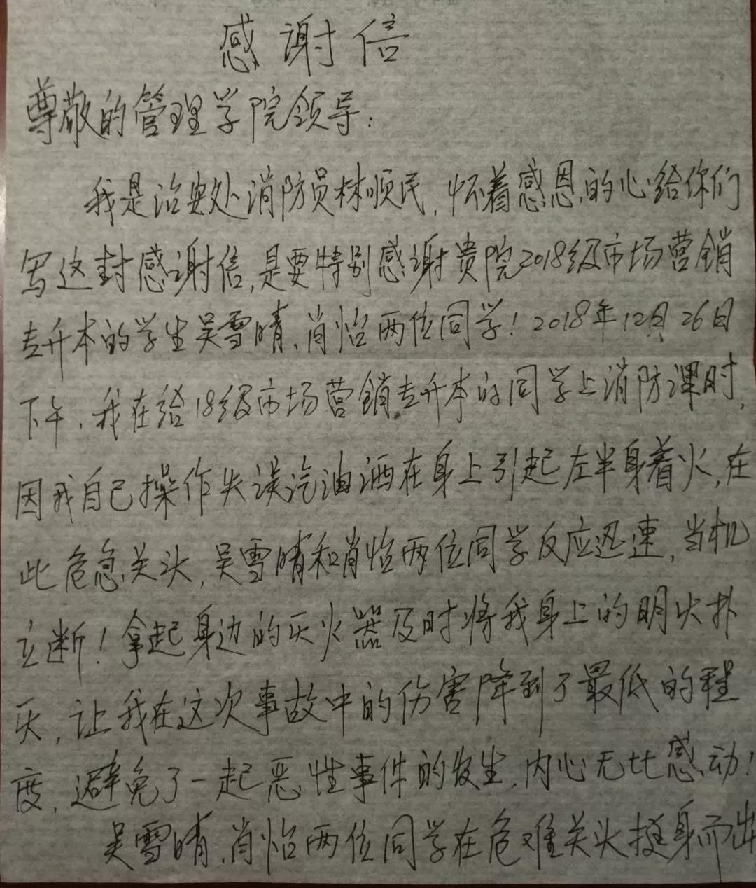
近日,我院收到一封来自治安保卫处消防员林顺民的感谢信,表达对我院2018级市场营销专升本的吴雪晴、肖怡的深切的感激之情。
据林顺民描述,12月26日下午,他在给2018级市场营销专升本的学生上消防课的时候,因自身操作失误致使汽油洒在身上引起左半身着火,在此危急关头,吴雪晴和肖怡反应迅速,当机立断拿起身边的灭火器将他身上的明火扑灭,将这次事故的伤害降到了最低的程度,避免了一起恶性事件的发生。为此,他特意给吴雪晴、肖怡两位同学送来了感谢信,以此对两位同学在危难关头挺身而出的行为表达感激之情。 

感谢信 在此,我院特对吴雪晴、肖怡两位同学予以表扬,望广大学生以吴雪晴、肖怡同学为榜样,培养当代大学生之责任与担当,弘扬社会正能量!(ac米兰官方网站新闻宣传中心/图文)
据林顺民描述,12月26日下午,他在给2018级市场营销专升本的学生上消防课的时候,因自身操作失误致使汽油洒在身上引起左半身着火,在此危急关头,吴雪晴和肖怡反应迅速,当机立断拿起身边的灭火器将他身上的明火扑灭,将这次事故的伤害降到了最低的程度,避免了一起恶性事件的发生。为此,他特意给吴雪晴、肖怡两位同学送来了感谢信,以此对两位同学在危难关头挺身而出的行为表达感激之情。


感谢信

